Al margen un sello con el Escudo Nacional, que dice: Estados Unidos Mexicanos.- Secretaría de Hacienda y Crédito Público.
REGLAS PARA LA CONSTITUCION, INCREMENTO Y VALUACION DE LAS RESERVAS TECNICAS DE FIANZAS EN VIGOR Y DE CONTINGENCIA DE LAS INSTITUCIONES DE FIANZAS.
Que la Ley Federal de Instituciones de Fianzas en su artículo 46 establece que la Secretaría de Hacienda y Crédito Público, mediante reglas de carácter general, determinará los montos, forma y términos de la constitución de las reservas técnicas de fianzas en vigor y de contingencia que las instituciones de fianzas deben mantener para cada tipo de fianza que otorguen.
Que como parte del proceso de mejoramiento continuo de la regulación de fianzas, se realizó una revisión general a las Reglas para la Constitución, Incremento y Valuación de las Reservas Técnicas de Fianzas en Vigor y de Contingencia de las Instituciones de Fianzas, con el objeto de establecer métodos más precisos y resolver algunas problemáticas observadas en la constitución de las citadas reservas. Derivado de lo anterior, se establece como cambio fundamental que las reservas deberán constituirse con base en el índice de reclamaciones pagadas de cada compaņía a nivel ramo, cuando dicho índice sea superior al índice de mercado. Adicionalmente, como una forma de incentivar la buena suscripción, se establece un procedimiento para que cuando el índice de la compaņía sea inferior al del mercado, las reservas se puedan constituir mediante un índice ponderado, el cual permite de manera moderada, la constitución de reservas en niveles inferiores al índice de mercado.
Que para efectos de la constitución, incremento y valuación de las reservas técnicas de fianzas en vigor y de contingencia, se introduce una clasificación a nivel ramo con el fin de diferenciar las operaciones que realizan las instituciones de fianzas, de acuerdo a los tipos de responsabilidades que éstas garantizan, lo cual tiene por objeto establecer para cada una de ellas, una prima denominada prima de reserva, determinada sobre aspectos técnicos, sustento para constituir las citadas reservas.
Que en la determinación de la prima de reserva, las instituciones de fianzas deberán tomar en consideración, el índice de reclamaciones pagadas por ramo de fianzas, así como los esquemas de reafianzamiento adoptados para cada una de las operaciones suscritas, de acuerdo con la clasificación que las propias Reglas establecen.
Que en las Reglas se considera como reserva técnica de fianzas en vigor, a la suma de las porciones que de la misma se determinen para cada uno de los ramos de fianzas. Esta reserva tiene por objeto dotar de liquidez a las afianzadoras, a fin de que puedan financiar el pago de reclamaciones procedentes de las fianzas otorgadas, en tanto se lleva a cabo el proceso de adjudicación y realización de las garantías de recuperación aportadas por el fiado, así como para financiar el pago de las reclamaciones de las fianzas que por ley no requieren garantía de recuperación. La propia reserva se debe constituir sobre el importe de las primas no devengadas de retención, tanto en la operación directa como en el reafianzamiento tomado.
Que a su vez, la reserva técnica de contingencia tiene como propósito dotar a las afianzadoras con recursos para hacer frente al financiamiento de posibles desviaciones derivadas del pago de reclamaciones procedentes de las fianzas otorgadas. Esta reserva se debe constituir únicamente sobre el importe de las primas retenidas, tanto en la operación directa como en el reafianzamiento tomado, será acumulativa y sólo podrá dejar de incrementarse cuando así lo determine la Secretaría de Hacienda y Crédito Público.
Que conforme a lo dispuesto en el artículo 55 de la Ley Federal de Instituciones de Fianzas, en las presentes Reglas se establecen los procedimientos que las instituciones de fianzas deberán observar para la disposición y reposición de las inversiones de las reservas técnicas de fianzas en vigor y de contingencia.
Que es importante seņalar que cuando las afianzadoras hacen uso de las inversiones de sus reservas técnicas para financiar el pago de reclamaciones, la reposición de dichas inversiones que se lleve a cabo con el importe neto de la adjudicación de las garantías de recuperación aportadas por el fiado y los bienes o derechos que con ese motivo tenga o adquiera la afianzadora, se considerará como inversión de sus reservas técnicas, durante los plazos que determine la Comisión Nacional de Seguros y Fianzas, de acuerdo a lo previsto en estas Reglas.
Que con el propósito de lograr la suficiencia de las reservas técnicas de fianzas en vigor y de contingencia, se incorporan los procedimientos para llevar a cabo su valuación, los cuales sólo podrán realizarse por un auditor externo actuarial.
En virtud de lo anterior, y después de escuchar la opinión de la Comisión Nacional de Seguros y Fianzas, con fundamento y considerando lo previsto por los artículos 31 fracción VIII de la Ley Orgánica de la Administración Pública Federal; 1o., 16 fracción II, 46, 49, 55, 67 y 86 de la Ley Federal de Instituciones de Fianzas y en ejercicio de las facultades que me confiere la fracción XXXIV del artículo 6o. del Reglamento Interior de la Secretaría de Hacienda y Crédito Público, he tenido a bien expedir las siguientes:
TITULO PRIMERO
Disposiciones Generales
PRIMERA.- Para efectos de las presentes Reglas, se entenderá por:
I.- Secretaría, la Secretaría de Hacienda y Crédito Público.
II.- Comisión, la Comisión Nacional de Seguros y Fianzas.
III.- Ley, la Ley Federal de Instituciones de Fianzas.
IV.- Instituciones, las instituciones de fianzas.
SEGUNDA.- Las Instituciones deberán constituir, incrementar y valuar las reservas técnicas de fianzas en vigor y de contingencia de conformidad con lo que establece el artículo 46 de la Ley y con lo que se seņala en las presentes Reglas.
TERCERA.- La Secretaría será el órgano competente para interpretar, aplicar y resolver para efectos administrativos todo lo relacionado con estas Reglas.
La propia Secretaría, oyendo la opinión de la Comisión, podrá modificar la forma y periodicidad de constitución e incremento de las reservas técnicas de fianzas en vigor y de contingencia, a las que se refieren las presentes Reglas.
CUARTA.- La Comisión, en ejercicio de las facultades de inspección y vigilancia que le otorga la Ley, establecerá la forma y los términos en que las instituciones deberán informarle y comprobarle todo lo concerniente a la constitución, incremento y valuación de las reservas técnicas de fianzas en vigor y de contingencia.
QUINTA.- Para efectos de la constitución, incremento y valuación de las reservas técnicas de fianzas en vigor y de contingencia, a las que se refieren las presentes Reglas, las Instituciones adoptarán la clasificación por ramo y subramo de fianzas que se indica a continuación:
Ramo I.- Fianzas de Fidelidad
Ramo II.- Fianzas Judiciales
Ramo III.- Fianzas Administrativas
Ramo IV.- Fianzas de Crédito
Con independencia de la clasificación anterior, la Secretaría, escuchando la opinión de la Comisión, podrá determinar otros ramos y subramos de fianzas, los cuales se darán a conocer a través de la circular que al efecto emita la Comisión.
De la Prima de Reservas
SEXTA.- Las reservas técnicas de fianzas en vigor y de contingencia se constituirán con base en la prima de reservas , la cual sirve para financiar el pago de las reclamaciones esperadas de las Instituciones, en tanto se efectúa el proceso de adjudicación y realización de las garantías de recuperación aportadas por el fiado, así como para financiar el pago de las reclamaciones de las fianzas que no requieren garantía de recuperación en términos de lo previsto en los artículos 22 y 24 de la Ley.
SEPTIMA.- La prima de reservas PR a la que se refiere la Regla Sexta anterior se calculará de acuerdo a los siguientes procedimientos:
a).- En el caso de las fianzas de fidelidad y las fianzas judiciales que amparen a los conductores de automóviles, la prima de reservas
, con la cual se determinarán las reservas técnicas de fianzas en vigor y de contingencia, se calculará como el índice anual de reclamaciones pagadas esperadas de la compaņía (
), multiplicado por la parte retenida del monto afianzado suscrito (MARS):

b).- Tratándose de los demás tipos de fianzas, la prima de reservas
, con la cual se determinarán las reservas técnicas de fianzas en vigor y de contingencia, será el resultado de multiplicar la parte retenida del monto afianzado suscrito (MARS), por el respectivo índice de reclamaciones pagadas esperadas por ramo de fianza, correspondiente a la afianzadora de que se trate (
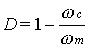
), siempre que dicho índice sea mayor o igual al correspondiente índice de reclamaciones pagadas esperadas por ramo del mercado (
). Para los casos en que el índice de la compaņía (
) sea inferior al índice del mercado (
), la prima de reservas se deberá determinar con el índice que resulte del promedio ponderado del índice propio y del mercado (
), el cual deberá multiplicarse por la parte retenida del monto afianzado suscrito (MARS), tal como se indica
a continuación:

Donde:

Los ponderadores f1 y f2 aplicables a los referidos índices de reclamaciones pagadas para determinar la prima de reservas, se aplicarán en función de la diferencia porcentual (D) entre el índice de mercado y el de la compaņía, conforme a los valores que se indican en la siguiente tabla.

| Diferencia (D) | Ponderadores | ||
| Mayor que: | Hasta: | f1 | f2 |
| 0.0% | 5.0% | 1.00 | 0.00 |
| 5.0% | 10.0% | 0.90 | 0.10 |
| 10.0% | 15.0% | 0.83 | 0.17 |
| 15.0% | 20.0% | 0.78 | 0.22 |
| 20.0% | 25.0% | 0.72 | 0.28 |
| 25.0% | 30.0% | 0.67 | 0.33 |
| 30.0% | 35.0% | 0.62 | 0.38 |
| 35.0% | 40.0% | 0.58 | 0.42 |
| 40.0% | 45.0% | 0.54 | 0.46 |
| 45.0% | 50.0% | 0.50 | 0.50 |
| 50.0% | 55.0% | 0.47 | 0.53 |
| 55.0% | 60.0% | 0.43 | 0.57 |
| 60.0% | 65.0% | 0.40 | 0.60 |
| 65.0% | 70.0% | 0.38 | 0.62 |
| 70.0% | 75.0% | 0.35 | 0.65 |
| 75.0% | 80.0% | 0.33 | 0.67 |
| 80.0% | 85.0% | 0.31 | 0.69 |
| 85.0% | 90.0% | 0.29 | 0.71 |
| 90.0% | 95.0% | 0.28 | 0.72 |
| 95.0% | 100.0% | 0.26 | 0.74 |
El índice de reclamaciones pagadas esperadas (
) se calculará de la siguiente forma:
i) Se calculará el índice de severidad correspondiente al mes i (pi), como el cociente que resulte de dividir la suma de los montos de las reclamaciones pagadas totales en cada mes del periodo de desarrollo i (RPJ,i), entre el monto de las responsabilidades totales de las pólizas de fianzas en vigor al inicio de dicho periodo (RFVTo,i). Se entenderá como periodo de desarrollo i de las reclamaciones, el periodo de tiempo integrado por el mes i y los n-1 meses anteriores a éste, durante el cual se pagan las reclamaciones derivadas de las responsabilidades totales de fianzas que estuvieron en vigor al inicio de dicho periodo RFVT0,i.

El número de meses (n), que integran el periodo de desarrollo, que se utilizará para estos efectos, será el que establezca la Comisión, mediante disposiciones de carácter administrativo, de acuerdo con la vigencia promedio de las pólizas de cada ramo.
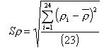
ii) Se calculará el índice de severidad promedio (
), como el promedio de los índices de severidad de los últimos 24 meses, como se muestra en la siguiente fórmula:

iii) A dicho índice se le adicionarán dos desviaciones estándar, calculando la desviación estándar mediante la siguiente fórmula:

Donde:
Sp = Desviación estándar del índice de severidad.
pi = Indice de severidad para el periodo de desarrollo i.
= Indice de severidad promedio.
A partir de los datos anteriores se obtendrá el índice de reclamaciones pagadas esperadas (
) tal y como se indica en la siguiente fórmula:

Asimismo, este índice podrá ser calculado mediante su función de probabilidad, cuando se cuente con ésta, tomando como índice, un valor de la variable aleatoria asociada a éste, tal que la probabilidad de excedencia de dicha variable no sea superior a 0.025.
Para efecto de las presentes Reglas, se entenderá como parte retenida del monto afianzado suscrito (MARS) al monto de responsabilidad retenida que asume una afianzadora después de haber realizado la cesión por reafianzamiento.
Para aquellas fianzas cuya naturaleza y características particulares así lo requieran, las Instituciones podrán calcular, previa autorización por parte de la Comisión, los índices de severidad que sirven como base para calcular el índice de reclamaciones pagadas esperadas (
), con un periodo de desarrollo que esté integrado por un número de meses (n) específico, pudiendo ser dicho número de meses superior o inferior al que establezca la Comisión.
De la Constitución e Incremento de la Reserva de Fianzas en Vigor
CAPITULO PRIMERO
Disposiciones Generales
OCTAVA.- Se considera como reserva de fianzas en vigor de una afianzadora, a la suma de las porciones que de la misma se determinen para cada uno de los ramos de fianzas a que se refiere la Quinta de las presentes Reglas.
Esta reserva tiene por objeto dotar de liquidez a las Instituciones, a fin de que éstas financien el pago de reclamaciones procedentes de las fianzas otorgadas, mientras se efectúa el proceso de adjudicación y realización de las garantías de recuperación aportadas por el fiado, así como para que respalden el pago de las reclamaciones de las fianzas que no requieren garantía de recuperación en términos de lo previsto en los artículos 22 y 24 de la Ley.
Las Instituciones deberán constituir esta reserva únicamente para las primas retenidas, tanto en la operación directa como en el reafianzamiento tomado.
De las Fianzas de Fidelidad y de las Fianzas Judiciales que amparen
a los Conductores de Automóviles
NOVENA.- La reserva de fianzas en vigor para las fianzas de fidelidad y para las fianzas judiciales que amparen a los conductores de automóviles, se constituirá sobre el importe de la prima no devengada de retención a la fecha de la valuación, correspondiente a las pólizas en vigor.
Para efectos de las presentes Reglas, se entenderá como prima no devengada de retención al monto resultante de multiplicar por un factor de devengamiento (FD), el resultado de aplicar un factor de 0.87 a la prima de reservas de las fianzas de fidelidad y judiciales que amparen a los conductores de automóviles
, sumando a esto último el monto correspondiente a los gastos de administración y el margen de utilidad esperada incluidos en la prima de tarifa, de acuerdo con lo registrado en la nota técnica, tal como se muestra a continuación:

Donde:
PNDR= Prima no devengada de retención.
FD = Factor de devengamiento.
= Prima de reservas.
GADM = Gastos de administración, de acuerdo con lo registrado en la nota técnica.
MUTI = Margen de utilidad esperada, de acuerdo con lo registrado en la nota técnica.
El factor de devengamiento (FD) al que se refiere la presente Regla, será el resultado de deducir a los días de vigencia de la póliza de que se trate (DV), el número de días transcurridos desde el inicio de la vigencia de dicha póliza (DT), dividido entre el mismo número total de días de vigencia, tal como se indica a continuación:

DECIMA.- La reserva de fianzas en vigor de las fianzas de fidelidad y de las fianzas judiciales que amparen a los conductores de automóviles que las instituciones deben constituir, será igual a la prima no devengada de retención calculada de acuerdo a lo dispuesto en la Novena de las presentes Reglas, tal como se indica a continuación:
Donde:
RFVFA = Reserva de fianzas en vigor.
PNDR = Prima no devengada de retención.
DECIMA PRIMERA.- Para las fianzas de fidelidad y las fianzas judiciales que amparen a los conductores de automóviles con vigencia superior a un aņo, el procedimiento seņalado en las Reglas Novena y Décima anteriores deberá aplicarse sólo a la parte de la prima, calculada a prorrata, que corresponda al aņo de vigencia, en tanto que la prima correspondiente a las posteriores anualidades deberá reservarse en su totalidad. En este último caso, las Instituciones deberán incrementar la reserva correspondiente a las primas de las anualidades posteriores, considerando mensualmente el rendimiento de las mismas, de acuerdo a lo registrado en la nota técnica.
DECIMA SEGUNDA.- La reserva de fianzas en vigor para el reafianzamiento tomado del país aplicable a las fianzas de fidelidad y las fianzas judiciales que amparen a los conductores de automóviles
, se debe constituir con lo que resulte de aplicar un factor de 0.87 a la prima de reservas correspondiente al monto afianzado retenido del reafianzamiento tomado
, afectada por el factor de devengamiento FD, tal como se muestra a continuación:

Donde:

= Indice de reclamaciones pagadas esperadas de la compaņía cedente.
MARTo = Monto afianzado retenido del reafianzamiento tomado.
En el caso de reafianzamiento tomado de instituciones del extranjero, así como para el reafianzamiento tomado del país para contratos no proporcionales, la reserva de fianzas en vigor se constituirá con lo que resulte de aplicar un factor de 0.87 a la prima de reafianzamiento tomado, neta del costo de adquisición.
De las Fianzas Judiciales Penales, Judiciales No Penales, Administrativas y de Crédito
DECIMA TERCERA.- La reserva de fianzas en vigor para las fianzas judiciales penales, judiciales no penales, administrativas y de crédito RFVJAC, que las Instituciones deben constituir, será igual al resultado de aplicar un factor de 0.87 a la prima de reservas
correspondiente a la vigencia de la fianza de que se trate, calculada de acuerdo a lo establecido en la Séptima de las presentes Reglas, tal como se muestra a continuación:

DECIMA CUARTA.- La reserva de fianzas en vigor para el reafianzamiento tomado del país aplicable a las fianzas judiciales penales, judiciales no penales, administrativas y de crédito
, se debe constituir con lo que resulte de aplicar un factor de 0.87 a la prima de reservas correspondiente al monto afianzado retenido del reafianzamiento tomado
, tal como se muestra a continuación:

Donde:

MARTo = Monto afianzado retenido del reafianzamiento tomado.
= Indice de reclamaciones pagadas esperadas, de la compaņía cedente, dado a conocer por la Comisión.
En el caso de reafianzamiento tomado de instituciones del extranjero, así como para el reafianzamiento tomado del país para contratos no proporcionales, la reserva de fianzas en vigor se constituirá con lo que resulte de aplicar un factor de 0.87 a la prima de reafianzamiento tomado, neta de recargos por gastos de administración, adquisición y margen de utilidad.
DECIMA QUINTA.- La reserva de fianzas en vigor para las fianzas judiciales penales, judiciales no penales, administrativas y de crédito permanecerá constituida hasta que las fianzas sean debidamente canceladas por la extinción de las obligaciones garantizadas o por el pago de las reclamaciones correspondientes.
De la Constitución e Incremento de la Reserva de Contingencia
DECIMA SEXTA.- La reserva de contingencia tiene por objeto dotar a las Instituciones con recursos para hacer frente al financiamiento de posibles desviaciones derivadas del pago de reclamaciones procedentes de las fianzas otorgadas.
La reserva de contingencia deberá constituirse únicamente por la porción retenida del monto afianzado suscrito, tanto en la operación directa (MARS) como en el reafianzamiento tomado (MARTo). Esta reserva será acumulativa y sólo podrá dejar de incrementarse cuando así lo determine la Secretaría, oyendo la opinión de la Comisión.
Cuando el monto de la reserva de contingencia sea mayor al Requerimiento Bruto de Solvencia, establecido en las Reglas para el Requerimiento Mínimo de Capital Base de Operaciones de las Instituciones de Fianzas, dichas instituciones podrán disponer parcialmente del excedente de esta reserva, previa autorización de la Secretaría.
DECIMA SEPTIMA.- El cálculo para constituir e incrementar la reserva de contingencia a que se refiere la Regla Décima Sexta anterior, deberá hacerse para todos los ramos de fianzas a que se refiere la Quinta de estas Reglas, aplicando un factor de 0.13 a la prima de reservas PR correspondiente a la vigencia de la fianza, tal como se indica a continuación:
Donde:
RC = Reserva de Contingencia.
PR = Prima de reservas.
DECIMA OCTAVA.- La reserva de contingencia para el reafianzamiento tomado del país (RCTo) se deberá constituir con lo que resulte de aplicar un factor de 0.13 a la prima de reservas correspondiente al monto afianzado retenido del reafianzamiento tomado del país PRTo, conforme se indica a continuación:
a) Reserva de contingencia del reafianzamiento tomado del país aplicable a las fianzas de fidelidad y las fianzas judiciales que amparen a los conductores de automóviles:

Donde:

b) Reserva de contingencia del reafianzamiento tomado del país aplicable a las fianzas judiciales penales, judiciales no penales, administrativas y de crédito:

Donde:

MARTo = Monto afianzado retenido del reafianzamiento tomado.
= Indice de reclamaciones pagadas esperadas, de la compaņía cedente, dado a conocer por la Comisión.
En el caso de reafianzamiento tomado de instituciones de fianzas del extranjero, así como para el reafianzamiento tomado del país para contratos no proporcionales, la reserva de contingencia se constituirá con lo que resulte de aplicar un factor de 0.13 a la prima de reafianzamiento tomado, neta de recargos por costos de adquisición, administración y utilidad.
De la Constitución e Incremento de las Reservas Técnicas de Fianzas en Vigor
y de Contingencia en Moneda Extranjera y en Unidades Indexadas a la Inflación
DECIMA NOVENA.- La constitución e incremento de las reservas técnicas de fianzas en vigor y de contingencia, derivadas de operaciones en moneda extranjera y de unidades indexadas a la inflación de fianzas expedidas de conformidad con las disposiciones legales aplicables, deberá hacerse en la unidad monetaria o de cuenta en la que se expida la fianza, atendiendo a los procedimientos de constitución y de acuerdo a los tipos de fianzas descritos en las presentes Reglas.
VIGESIMA.- La Comisión podrá autorizar que la reserva de contingencia constituida en moneda extranjera o en unidades indexadas a la inflación, se convierta a moneda nacional, en los casos en que la responsabilidad que dio origen a la constitución de reserva en dichas monedas ya no se encuentre vigente, comprobando a satisfacción de la propia Comisión dicha situación.
De la Disposición y Reposición de las Inversiones de las
Reservas Técnicas de Fianzas en Vigor y de Contingencia
CAPITULO PRIMERO
De la Disposición de las Inversiones de las Reservas Técnicas de Fianzas en Vigor y de Contingencia
VIGESIMA PRIMERA.- Cuando una afianzadora vaya a realizar pagos por reclamaciones de cualquier tipo de fianzas otorgadas, excepto fianzas de fidelidad y fianzas judiciales que amparen a los conductores de automóviles, careciendo de activos líquidos, se encuentre con que las garantías de recuperación no sean de fácil e inmediata realización, dando aviso previo de ello a la Comisión, podrá disponer hasta de 25% de las inversiones de la reserva de fianzas en vigor. En dicha notificación la afianzadora deberá seņalar, de manera detallada, las garantías de recuperación que haya recabado relacionadas con las reclamaciones. Por encima de esta proporción, se deberá solicitar autorización previa a la citada Comisión para disponer de hasta de 50% de las inversiones de dicha reserva, debiendo seņalar, de manera detallada, las garantías de recuperación que se hayan recabado relacionadas con las reclamaciones, así como todos los demás elementos que justifiquen a satisfacción de dicha Comisión la disposición de inversiones en la proporción aquí seņalada.
VIGESIMA SEGUNDA.- Cuando una institución de fianzas reporte en un ejercicio reclamaciones pagadas extraordinarias correspondientes a cualquier tipo de fianzas otorgadas, excepto fianzas de fidelidad y fianzas judiciales que amparen a los conductores de automóviles, y para financiar el pago de las mismas agote el 50% de las inversiones de la reserva de fianzas en vigor, podrá disponer de las inversiones de la reserva de contingencia para financiar el resto del pago de reclamaciones, contando con la autorización previa de la Comisión.
De la Reposición de las Inversiones de las Reservas Técnicas de Fianzas en Vigor y de Contingencia
VIGESIMA TERCERA.- Cuando se haya hecho uso de las inversiones de la reserva de fianzas en vigor para financiar el pago de reclamaciones en los términos de la Regla Vigésima Primera anterior, la reposición de dichas inversiones se llevará a cabo con el importe neto de la adjudicación de las garantías de recuperación aportadas por los fiados. Los bienes o derechos que con ese motivo tenga o adquiera la afianzadora, se considerarán como inversión de la reserva de fianzas en vigor de acuerdo a los requisitos, la proporción del límite de inversión y durante los plazos que para tal efecto determine la Comisión, atendiendo a la liquidez de las garantías de recuperación.
VIGESIMA CUARTA.- Cuando se haya hecho uso de las inversiones de la reserva de contingencia para financiar el pago de reclamaciones, de acuerdo con lo establecido en la Vigésima Segunda de estas Reglas, la reposición de dichas inversiones se llevará a cabo con el importe neto de la adjudicación de las garantías de recuperación aportadas por los fiados. Los bienes o derechos que con ese motivo tenga o adquiera la afianzadora, se considerarán como inversión de la reserva de contingencia en vigor de acuerdo a los requisitos, la proporción del límite de inversión y durante los plazos que para tal efecto determine la Comisión, atendiendo a la liquidez de las garantías de recuperación.
VIGESIMA QUINTA.- Los plazos a determinar por la Comisión, y a que se refiere la Vigésima Tercera y Vigésima Cuarta de las presentes Reglas, no podrán exceder de un aņo cuando se trate de títulos o de bienes muebles; de dos aņos cuando se trate de inmuebles urbanos; y de tres aņos cuando se trate de establecimientos mercantiles o industriales o inmuebles rústicos.
Si la afianzadora una vez vencidos los plazos que la Comisión le haya concedido, conforme a lo previsto en la Vigésima Tercera y Vigésima Cuarta de estas Reglas, no hubiere repuesto las inversiones de sus reservas, los bienes o derechos respectivos dejarán de considerarse como inversión de las mismas. En este supuesto la afianzadora de que se trate procederá a reconstituir las inversiones dispuestas con aportaciones de los accionistas o la aplicación de recursos patrimoniales.
De la Valuación de las Reservas Técnicas
VIGESIMA SEXTA.- Las Instituciones deberán realizar trimestralmente la valuación de las reservas técnicas de fianzas en vigor y de contingencia en la forma y términos que mediante disposiciones de carácter general establezca la Comisión.
VIGESIMA SEPTIMA.- Las Instituciones deberán enviar anualmente, conforme las disposiciones de carácter general que al efecto establezca la Comisión, un dictamen actuarial sobre la situación y suficiencia de las reservas técnicas de fianzas en vigor y de contingencia que se deban tener constituidas al 31 de diciembre de cada aņo, el cual será presentado en la forma y términos que establezca la propia Comisión.
VIGESIMA OCTAVA.- El dictamen a que se refiere la Regla Vigésima Séptima anterior deberá ser realizado por un auditor externo actuarial, el cual deberá cumplir con los requisitos que al efecto establezca la Comisión mediante disposiciones de carácter general.
VIGESIMA NOVENA.- Cuando se establezca que existe una situación de insuficiencia en la reserva de fianzas en vigor o una constitución incorrecta de la reserva de contingencia, detectada por parte de los auditores externos actuariales o por la Comisión, la afianzadora de que se trate deberá proceder, de manera inmediata, a la constitución del pasivo correspondiente, con independencia de las sanciones a que se haga acreedora.
TRIGESIMA.- Para efectos de la determinación de la prima de reservas
, establecida en la Regla Séptima, la Comisión dará a conocer mediante disposiciones administrativas de carácter general, los índices de reclamaciones pagadas esperadas del mercado y los que deberá aplicar cada compaņía en cada ramo de fianza, determinados conforme a los criterios establecidos en las presentes Reglas.
PRIMERA.- Las presentes Reglas entrarán en vigor a partir del día hábil siguiente al de su publicación en el Diario Oficial de la Federación.
SEGUNDA.- Se abrogan las Reglas para la Constitución, Incremento y Valuación de las Reservas Técnicas de Fianzas en Vigor y de Contingencia de las Instituciones de Fianzas, publicadas en el Diario Oficial de la Federación el 1 de julio de 1998 y modificadas mediante Acuerdos publicados en el mismo Diario el 18 de noviembre de 1998, 31 de diciembre de 1999, 18 de mayo de 2000 y 23 de agosto de 2000, sin embargo, quedan en vigor para el solo efecto de aplicar las sanciones previstas en la Ley Federal de Instituciones de Fianzas a aquellas instituciones que no hubiesen dado debido cumplimiento a las mismas y para que los procedimientos administrativos y legales derivados de su inobservancia continúen hasta su conclusión.
TERCERA.- Las instituciones de fianzas procederán a determinar la constitución, incremento y valuación de las reservas técnicas de fianzas en vigor y de contingencia conforme a lo previsto en las presentes Reglas de acuerdo a los resultados que arroje su operación al término del primer trimestre de 2002.
CUARTA.- Para efectos del registro contable de las reservas técnicas de fianzas en vigor y de contingencia, las Instituciones continuarán diferenciando contablemente entre los saldos existentes en dichas reservas hasta el 31 de diciembre de 1998 y la constitución e incremento de las reservas realizados a partir del 1 de enero de 1999.
Atentamente
Sufragio Efectivo. No Reelección.
Las presentes Reglas se emiten en México, Distrito Federal, a los veintidós días del mes de marzo de dos mil dos.- En ausencia del C. Secretario y de conformidad con el artículo 105 del Reglamento Interior de la Secretaría de Hacienda y Crédito Público, el Subsecretario de Hacienda y Crédito Público, Agustín Guillermo Carstens Carstens.- Rúbrica.